
HOME > 事業内容 > その他の活動 > 太陽光発電システムによる売電 (H27.2〜H28.7) > 千葉県長生郡白子町②
最終更新日:平成28年8月29日
| ● 設置場所 | 千葉県長生郡白子町② | |
| ● 施設概要 | パネル出力 | 24.48kW |
| パワコン出力 | 22.00kW | |
| パネル設置方位 | 南 | |
| パネル設置角度 | 10度(一部※は20度) ※太陽光パネル24枚中の11枚 | |
現場写真(千葉県長生郡白子町②)
下記の<データ集計日数>の期間(※)について、以下の2種類のデータを示します。
① 1時間ごとの売電電力量の最大値/平均値の時間変化(月別)
② 1時間ごとの売電電力量の最大値/平均値の季節変化(時間帯別)
※例えば「3月」として示すのは、2015年3月と2016年3月(合計59日間)の売電電力量の最大値や平均値です。
<データ集計日数>
| 年 | 1月 | 2月 | 3月 | 4月 | 5月 | 6月 | 7月 | 8月 | 9月 | 10月 | 11月 | 12月 |
| 2015 | 28 | 30 | 31 | 30 | 31 | 31 | 30 | 31 | 30 | 31 | ||
| 2016 | 30 | 29 | 31 | 30 | 31 | 30 | 31 | |||||
| 合計 | 30 | 29 | 59 | 60 | 62 | 60 | 62 | 31 | 30 | 31 | 30 | 31 |
※1時間以上のデータが記録された日数を示します(24時間のデータが得られたとは限りません)。
※2016年1月は売電電力量のデータに1日間の欠測が生じました。
| 千葉県長生郡 白子町② |
パネル出力 | 24.48kW |
| パワコン出力 | 22.00kW | |
| パネル設置方位 | 南 | |
| パネル設置角度 | 10度(一部※は20度) ※太陽光パネル24枚中の11枚 |
図1 1時間ごとの売電電力量の最大値/平均値の時間変化(白子町②)(1〜6月)
| 千葉県長生郡 白子町② |
パネル出力 | 24.48kW |
| パワコン出力 | 22.00kW | |
| パネル設置方位 | 南 | |
| パネル設置角度 | 10度(一部※は20度) ※太陽光パネル24枚中の11枚 |
図2 1時間ごとの売電電力量の最大値/平均値の時間変化(白子町②)(7〜12月)
| 千葉県長生郡 白子町② |
パネル出力 | 24.48kW |
| パワコン出力 | 22.00kW | |
| パネル設置方位 | 南 | |
| パネル設置角度 | 10度(一部※は20度) ※太陽光パネル24枚中の11枚 |
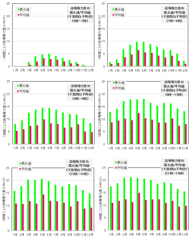
図3 1時間ごとの売電電力量の最大値/平均値の季節変化(白子町②)(6〜12時)
| 千葉県長生郡 白子町② |
パネル出力 | 24.48kW |
| パワコン出力 | 22.00kW | |
| パネル設置方位 | 南 | |
| パネル設置角度 | 10度(一部※は20度) ※太陽光パネル24枚中の11枚 |
図4 1時間ごとの売電電力量の最大値/平均値の季節変化(白子町②)(12〜18時)
<1日ごとの売電電力量の例>
(ア) 2016年5月11日(雨天の日の例)
(イ) 2016年5月12日(晴天の日の例)
※日照時間はアメダスの観測地点である「茂原(千葉県)」のデータを示しています。
※日照時間とは「直達日射量が0.12kW/m2以上となっている時間」と定義されています。
図5 「雨天の日」と「晴天の日」の売電電力量のデータ例(千葉県長生郡白子町②)
1. 18ヶ月の売電電力量の推移(1ヶ月単位のデータ)
1. 千葉県長生郡白子町① |